一、團隊簡介
納米自旋電子學團隊是濟南大學立項建設的校級科研團隊。團隊成立于2011年,以自旋電子學、拓撲絕緣體,以及光電材料與器件的設計及其電學性質量子調控為主要研究領域。團隊由山東省泰山學者張昌文教授領銜,目前共有成員12人,其中教授3人,副教授6人,講師2人,師資博士后1人。團隊成員至今已在國際著名期刊(包括:PRL、PRB、NJP、ACS-AMI、Nanoscale、APL等)發表論文200余篇。團隊成員共承擔國家自然科學基金10余項,獲得山東省自然科學二等獎1項。目前已畢業碩士研究生20余人,博士生1人,在讀研究生18人。
2024年,團隊成員共發表SCI論文10余篇,新立項縱向科研項目2項,其中包括國家自然科學基金青年項目1項,山東省自然科學基金青年項目1項。2024年。張昌文教授入選愛思唯爾2023“中國高被引學者”榜單。張昌文教授指導研究生發表的論文“Strain-tunable skyrmions in two dimensional monolayer Janus magnets”,被編入Nanoscale 2023年最受歡迎論文專輯,以及 Nanoscale Horizons, Nanoscale 和 Nanoscale Advances 共同組織的2024 Lunar New Year Collection.

二、標志性科技成果簡介
張昌文教授團隊論文入選 [Nanoscale Most Popular 2023 Articles, 2024 Lunar New Year Collection] 專輯
基于出色的閱讀量和下載量表現,張昌文教授帶領團隊在Nanoscale上發表的論文“Strain-tunable skyrmions in two dimensional monolayer Janus magnets”,被編入Nanoscale2023年最受歡迎論文專輯,以及2024 Lunar New Year Collection 專輯。 Nanoscale是由英國皇家化學會同中國國家納米科學中心共同出版,發表有關納米科學和納米技術的高質量研究報道,是領域內的一本主力期刊。論文的第一作者為2020級碩士研究生韓曰通同學,碩士畢業以后,在鄭州大學物理學院繼續攻讀博士學位。

自旋電子學團隊在《Applied Physics Letters》發表亞鐵谷高階拓撲絕緣體的新成果
二維二階拓撲絕緣體表現出(d-2)維高階非平凡體邊界對應,導致二維情況下位于帶隙中的零維拓撲角態,這可以用更可行的方法來完成能量存儲和收獲。與谷極化共存的鐵磁和反鐵磁二階拓撲絕緣體近年來受到越來越多的關注,而二維亞鐵磁谷極化二階拓撲絕緣體尚未見報道。因此,將二維谷極化高階拓撲材料擴展到亞鐵磁體系中可以加深對各種磁性結構中高階拓撲物理的理解,具有重要的理論和實踐意義。
本工作構建了具有對稱性約束的二維六帶緊束縛模型,證明了亞鐵磁性、二階拓撲和谷極化共存的可能性,并預測單層Mo2CSCl是二維亞鐵谷二階拓撲絕緣體。基于第一性原理計算,Mo2CSCl具有本征亞鐵磁極化。通過聲子譜、分子動力學模擬、彈性常數,證明了體系的穩定性。磁軸沿著面外時,價帶K和K¢處的自發谷極化值高達109meV。通過蒙特卡羅模估計居里溫度為100 K,可以用于實驗。通過搭建三角形納米片,發現二階拓撲角態對磁場方向具有魯棒性。Mo2CSCl的MAE與外加電場呈線性關系。特別是,我們可以通過利用外磁場反轉磁化方向來同步控制角態和谷極化的方向。我們的研究結果探索了二維亞鐵磁高階拓撲材料和谷極化材料的候選材料。

本工作發表在國際物理領域知名期刊App.Phys. Lett.上(中科院二區,Nature Index期刊),研究生劉欣雨為論文第一作者,紀維霄副教授為通訊作者。本文獲得泰山學者工程(No.ts20190939)、山東省自然科學基金(No. ZR2023MA091和ZR2020QA052)、國家自然科學基金(No. 52173283)和濟南市科技局“新高校20條”創新團隊計劃(No. 2021GXRC043)的資助。
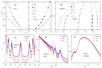
自旋電子學團隊在《Physical Review B》發表狄拉克費米子無序性質的新成果
由于費米子重疊定理的限制,無能隙的費米子總是成對出現的。近期,實驗證實半磁性拓撲絕緣體(單表面磁性摻雜的拓撲絕緣體),在上下表面分別存在有能隙和無能隙的狄拉克錐型拓撲表面態。這為研究單個狄拉克費米子的性質提供了理想平臺。
最近,物理學院自旋電子學團隊張樹峰副教授與蘇州大學陳垂針教授合作研究了安德森無序對單個狄拉克費米子朗道能級的量子調控。研究發現哈密頓量中的粒子空穴對稱破缺項是決定朗道能級隨磁場強度和無序強度及濃度的演化規律的關鍵因素。保持粒子空穴對稱性時,第零朗道能級被鎖定在電荷中性點并且不依賴于磁場和弱無序,近鄰的朗道能級則呈現反懸浮(antilevitation )行為。然而,粒子空穴對稱性破缺后,第零朗道能級則根據粒子空穴項的符號來呈現上升或下降行為,近鄰朗道能級的演化規律則取決于粒子空穴破缺項的強度。

相關成果發表在Physical Review B 110, 094202 (2024)。該工作受到泰山學者工程(ts20190939)、國家自然科學基金(12104183、52173283 )、山東省自然科學基金(ZR2021MA040)和江蘇省自然科學基金(BK20230066)的資助。
供稿:曹強 編輯:弋媛 審核:王曉